Benign prostatic hyperplasia (BPH) is one of the most common urological conditions in men, especially those aged 50 and older. The number of cases of BPH is rapidly increasing worldwide. According to the data published in The Lancet, the distribution of the disease according to age is as follows: 8% in their 40s, 50% in their 60s, and 80% in their 80s. As treatment options evolve, Aquablation therapy has emerged as a promising modern alternative to conventional approaches. Clinical evidence demonstrates favorable outcomes when aquablation therapy compared to the gold standard transurethral resection of prostate (TURP), positioning this innovative technique as a significant advancement in benign prostatic hyperplasia treatment.
BPH: conventional treatment methods
Until recently, the standard of surgery for BPH was transurethral resection of the prostate. The surgical procedure involves the removal of the prostate with a special instrument called a rectoscope. The instrument is passed through the urethra into the bladder, whereas a wire attached to the resectoscope helps to remove prostate tissues. Local blood vessels are sealed with an electric current. Full recovery commonly takes up to 3 weeks. This procedure is used when medications no longer work. Transurethral resection of the prostate was considered to be the best method until recently. Nevertheless, thanks to advances in treatment, there are even more innovative techniques, in particular, the aquablation procedure.
Aquablation therapy and its benefits in BPH
Aquablation of the prostate is an innovative, minimally invasive surgery designed mainly for the treatment of benign prostatic hyperplasia (BPH), a non-cancerous enlargement of the prostate gland. The core principle of this minimally invasive surgical procedure revolves around the use of robotically controlled high-velocity heat-free waterjets. These waterjets, guided by real-time ultrasound imaging, lead to selective destruction of prostate tissues while preserving other structures (blood vessels, capsule). Such a controlled intervention assists in the precise and safe removal of the prostate tissues, resulting in unblocked urine flow.
The primary reasons the aquablation procedure demonstrates growing popularity in Germany are:
- Precision – the combination of robotic technology and live imaging ensures high accuracy during the procedure.
- Safety – as a minimally invasive surgery, it leads to fewer complications compared to traditional techniques.
- Shorter recovery – with fewer risks and complications, patients usually experience quicker recovery times after undergoing this treatment.
Aquablation for prostate cancer therapy is not yet used as a standard surgical procedure. There is a theoretical concern that this procedure could spread circulating tumor cells. Following this logic, though any physical examination of the prostate can also contribute to such spread of malignant cells. However, it may be a part of the comprehensive treatment strategy for lower urinary tract symptoms in patients with localized prostate cancer who also need treatment for prostate tissue enlargement.

Why Aquablation over TURP or Rezum in BPH?
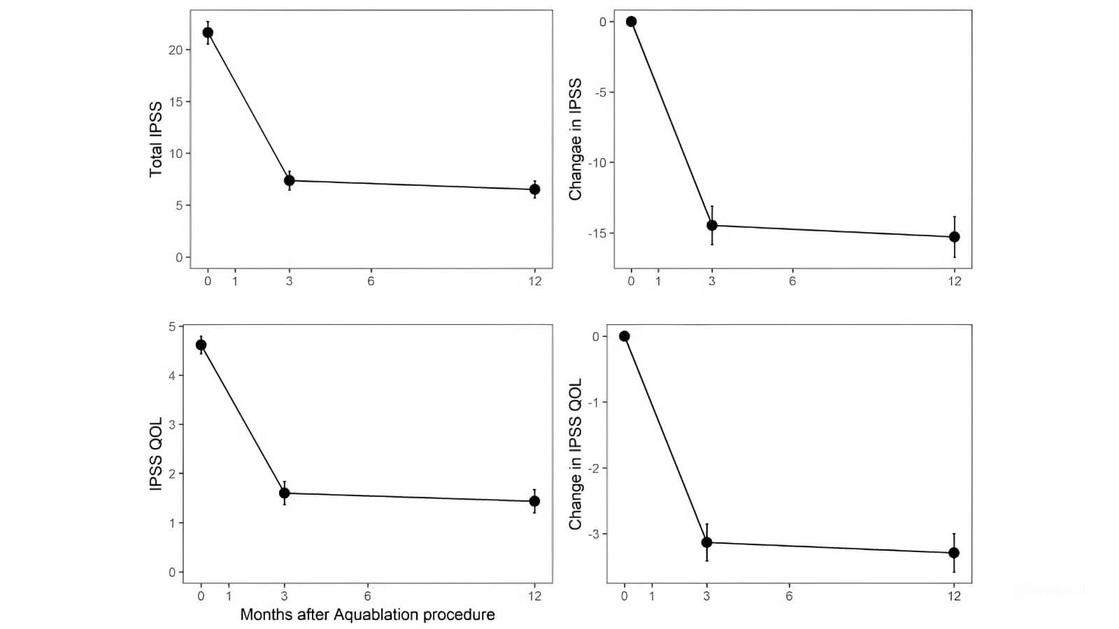
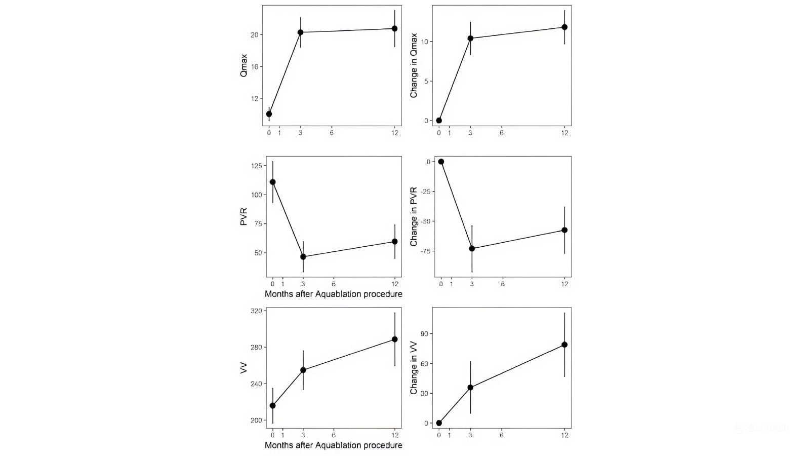
While TURP has been the gold standard in prostate treatments for decades, the current rise of aquablation is challenging its supremacy. A recent study published in the Canadian Journal of Urology stated that aquablation for benign prostatic hyperplasia showed consistent results over five years, sometimes even bettering those of TURP, especially in men with larger prostates.
Aquablation's robotic precision reduces the risk of side effects like ejaculatory dysfunction / sexual dysfunction, a drawback often associated with TURP. In addition, over 5 years, patients who underwent aquablation demonstrated a 51% reduced likelihood of requiring additional BPH treatments (whether in the form of medication or surgical procedures), due to the recurrence of lower urinary tract symptoms, compared to those treated with TURP. Other studies on long-term patient outcomes showed that aquablation has a significantly lower risk of side effects and the lowest rate of repeated procedures.
Aquablation or Rezum is another conversation gaining traction. The Rezum procedure uses steam to treat BPH. The same as aquablation, Rezum statistically reduces the need for repeated treatment in the long-term perspective. Above that, patients who underwent the Rezum procedure complained of painful urination, blood in the urine, and ejaculatory dysfunction / erectile dysfunction. The latter was observed less frequently compared to TURP, yet more often than after aquablation. While being effective, the Rezum procedure still lacks the precision of robotically-guided aquablation.
In order to get a clear understanding of the benefits, side effects, and cost of both conventional and innovative treatments for BPH, please review the table comparing different interventions for BPH.
| Treatment method | Aquablation | Rezum | TURP |
|---|---|---|---|
| Retreatment rate at 5 years postoperatively | about 1%* | 4.4% - 7.5%* | 10.3% - 11.6% ** |
| Side effects | lowest risks | medium level of risks | more frequent side effects |
| Cost, € | 10,000 - 18,000 | 10,000 - 18,000 | 6,800 - 12,000 |
*According to the Journal of Urology
**According to NLM
The patient reviews for aquablation treatment further confirm its advantages, as they often highlight the minimal discomfort and quick recovery associated with the therapy.
Patient's experience: reviews and outcomes in BPH
A quintessential aspect of any medical treatment is the feedback and experience of patients who have undergone the procedure. A consistent theme in aquablation patient reviews is satisfaction. The precision of the treatment, minimal discomfort, and faster recovery often place it above traditional methods like TURP. The ability to restore optimal urinary flow in patients with BPH and reduced need for repeated treatment in the future gained recognition for this innovative treatment. It's evident when patients express their relief over fewer side effects, notably the reduced risk of ejaculatory dysfunction / erectile dysfunction, a common concern with TURP. Owing to such a beneficial profile, aquablation may pave its way to treatment protocols for BPH shortly.

Aquablation for BPH in Germany
Germany is undoubtedly a leader in using aquablation to treat BPH. With its world-class hospitals, pioneering doctors, and a commitment to treatment innovations, the country is firmly placing itself at the forefront of advanced prostate care. Its unique fusion of robotic precision and real-time imaging ensures unmatched accuracy and safety. With fewer side effects, consistent long-term results, and quicker recovery, it's no wonder that more patients are gravitating towards this revolutionary treatment.
While aquablation is a paradigm-shifting procedure, it's essential to discuss the financial dynamics. The cost of prostate aquablation can vary based on various factors. These include:
- The hospital
- The complexity of the case
- Additional care or post-surgery therapies required
Leading hospitals and clinics ensure transparency about the factors affecting the cost, and many offer detailed consultations to help patients understand the potential expenses involved. Speaking of medical centers, Germany houses some of the world's leading hospitals specializing in aquablation therapy. Some notable institutions include:
- Charité University Hospital Berlin, renowned for its advanced urology department and cutting-edge technologies.
- University Hospital Heidelberg, where patients come for its research-driven approach and state-of-the-art treatments.
- University Hospital Muenster, known for its all-encompassing urological care and robust patient outcomes.
The expertise of doctors in these hospitals, combined with top-notch equipment, along with Germany's embrace of modern, minimally invasive surgeries, makes the country a highly sought-after destination for aquablation.
Every Patient Has a Story: Booking Health Treatment Journeys that Inspire
Booking Health benefits for BPH treatment arrangement
To undergo treatment in a specialized urological German healthcare facility, contact Booking Health. This global medical tourism company has over 12 years of experience in arranging prostate pathologies treatment abroad.
Our benefits include:
- Choosing the best treatment options for patients based on analytical data
- No extra costs for foreigners
- Individual coordinating manager
- Visa and travel support
- Translation of the medical documentation and more on your way to health
Fill in the "Get a free quote" form to contact a Booking Health medical advisor for further assistance in choosing a hospital and treatment method, or simply send your request to the hospital on the chosen webpage for the aquablation treatment in Germany.
Frequently asked questions of our patients with BPH
Send request for treatmentAquablation therapy is a one-of-a-kind modern treatment for benign prostatic hyperplasia. It is a minimally invasive robotic technology guided by ultrasound imaging. This ensures precise and safe partial removal of the excess prostate tissues.
The cost of surgical aquablation treatment is calculated individually, depending on the hospital, the complexity of the clinical case, and whether postoperative recovery is required. The cost for treatment in Germany usually starts from 6,500 euros.
Aquablation therapy is a surgical intervention for the resection of the prostate, which is performed under ultrasound guidance in real time using a high-speed water stream. This flow causes the selective ablation of prostate tissue while preserving collagen structures, including blood vessels and the capsule. Currently, prostate aquablation has the highest safety rate, comparable to other methods of treating benign prostatic hyperplasia.
Most patients do not need medication after aquablation therapy, though some may still require bladder treatment. Hospital stays typically last 1-2 nights, and most patients can return to their normal lives, avoiding any strenuous activity within one to two weeks.
Some blood or tissue debris can be seen in the urine for a few weeks after surgery. It also takes some time to restore normal urination (stream strength without intermittency).
No, with this technology, only excess prostate tissue is removed.
It may not be suitable for everyone. Patients with conditions like bleeding disorders or severe kidney disease may not be ideal candidates for the procedure.
Men who underwent aquablation therapy had a very low rate of irreversible complications, though there can be such side effects:
- mild pain or difficulty when urinating;
- blood in the urine;
- sexual dysfunction;
- injury to the urethra or the rectum;
- bruising.
After aquablation therapy, most patients can return to normal, light activities within one to two weeks.
Aquablation is primarily used in the therapy of benign prostatic hyperplasia (BPH) and not prostate cancer. While it efficiently removes excess prostate tissue with waterjet technology, it is not a standard surgical treatment for malignant tumors, though. Prostate cancer patients should contact their doctor to discuss appropriate interventions in each case individually.
Choose treatment abroad and you will for sure get the best results!
Authors:
This article was edited by medical experts, board-certified doctors Dr. Nadezhda Ivanisova, and Dr. Bohdan Mykhalniuk. For the treatment of the conditions referred to in the article, you must consult a doctor; the information in the article is not intended for self-medication!
Our editorial policy, which details our commitment to accuracy and transparency, is available here. Click this link to review our policies.
Sources:
[1] PubMed. First Multi-Center All-Comers Study for the Aquablation Procedure. https://pubmed.ncbi.nlm.nih.gov/32102329/
National Institutes of Health (NIH)
Read:
Actinium-225 PSMA Therapy: Revolutionizing Treatment for Metastatic Prostate Cancer
Article menu:
- BPH: conventional treatment methods
- Aquablation therapy and its benefits in BPH
- Why Aquablation over TURP or Rezum in BPH?
- Patient's experience: reviews and outcomes in BPH
- Aquablation for BPH in Germany
- Booking Health benefits for BPH treatment arrangement
- Frequently asked questions of our patients with BPH
Don't know where to start?
Contact Booking Health




